Notice
Recent Posts
Recent Comments
| 일 | 월 | 화 | 수 | 목 | 금 | 토 |
|---|---|---|---|---|---|---|
| 1 | ||||||
| 2 | 3 | 4 | 5 | 6 | 7 | 8 |
| 9 | 10 | 11 | 12 | 13 | 14 | 15 |
| 16 | 17 | 18 | 19 | 20 | 21 | 22 |
| 23 | 24 | 25 | 26 | 27 | 28 | 29 |
| 30 |
Tags
- Real or Not? NLP with Disaster Tweets
- 파이썬
- 편스토랑 우승상품
- Kaggle
- 프로그래머스 파이썬
- AI 경진대회
- 데이콘
- github
- Baekjoon
- gs25
- 캐치카페
- PYTHON
- ubuntu
- 맥북
- dacon
- 더현대서울 맛집
- ChatGPT
- 우분투
- Docker
- leetcode
- 백준
- hackerrank
- programmers
- 편스토랑
- SW Expert Academy
- 프로그래머스
- 금융문자분석경진대회
- 자연어처리
- Git
- 코로나19
Archives
- Today
- Total
솜씨좋은장씨
[leetCode] 148. Sort List (Python) 본문
728x90
반응형

Given the head of a linked list, return the list after sorting it in ascending order.
Follow up: Can you sort the linked list in O(n logn) time and O(1) memory (i.e. constant space)?
Example 1:

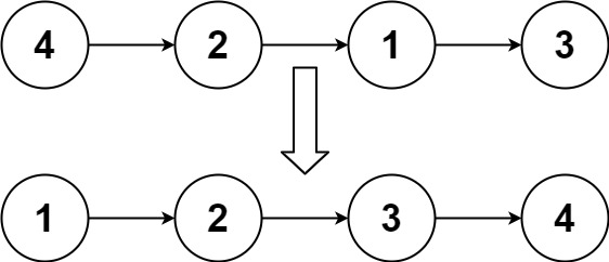
Input: head = [4,2,1,3]
Output: [1,2,3,4]
Example 2:

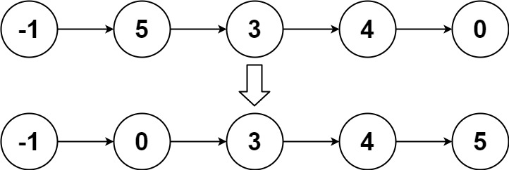
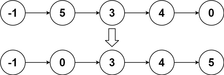
Input: head = [-1,5,3,4,0]
Output: [-1,0,3,4,5]
Example 3:
Input: head = []
Output: []
Constraints:
- The number of nodes in the list is in the range [0, 5 * 104].
- -105 <= Node.val <= 105
Solution
# Definition for singly-linked list.
# class ListNode:
# def __init__(self, val=0, next=None):
# self.val = val
# self.next = next
class Solution:
def sortList(self, head: ListNode) -> ListNode:
list_nums = []
while head != None:
list_nums.append(head.val)
head = head.next
list_nums = sorted(list_nums)
answerList = ListNode(0)
result = answerList
for num in list_nums:
answerList.next = ListNode(num)
answerList = answerList.next
return result.next



SOMJANG/CODINGTEST_PRACTICE
1일 1문제 since 2020.02.07. Contribute to SOMJANG/CODINGTEST_PRACTICE development by creating an account on GitHub.
github.com
'Programming > 코딩 1일 1문제' 카테고리의 다른 글
| [leetCode] 82. Remove Duplicates from Sorted List II (Python) (0) | 2020.12.02 |
|---|---|
| [leetCode] 83. Remove Duplicates from Sorted List (Python) (0) | 2020.12.01 |
| [leetCode] 468. Validate IP Address (Python) (0) | 2020.11.22 |
| [leetCode] 338. Counting Bits (Pyhton) (0) | 2020.11.21 |
| [leetCode] 313. Super Ugly Number (Python) (0) | 2020.11.20 |
Comments